Report a food safety issue.

I am reporting
I want to:
Please fill in incident place

Add more

As seen in:

Did you also consume (in the past 7 days):

Skip

Get alerts for your case

Provide a contact email

Please provide email
No Thanks
Without your contact information it's not possible to follow up on your complaint. Please provide your email. Thank you 🙂

Protect friends & family

Provide a contact phone number

This makes it easier to follow up - especially if there is some urgency e.g. in a public health investigation. THANK YOU 👍
No Thanks

Add video or photo!

We Recommend video or photos of:
  1. The receipt
  2. The product
  3. The packaging
Add Photo/Video
Drop files here
No Thanks

Email or SMS a copy of report

Enter below to get emailed or SMS a copy of your report

Please provide email or phone
Please provide email or phone

Thanks for your report.

The report was
successfully sent!


Your report is queued - it may take up to 12 hours to process your report.

Report by

Food Safety Reports: France

Updated:

Had a bad experience eating out?

Your report helps protect others.

I ate only one food today: a mac Donalds and a sandwich with my children at noon, but I started having severe pain at 6 pm and then vomiting. I will never eat at this restaurant again and it is not the first time in Epernay restaurant… See more

#mcdonalds #epernay #grandest #france #sandwich

Recall notice

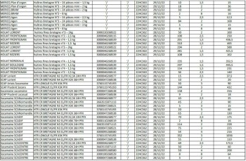
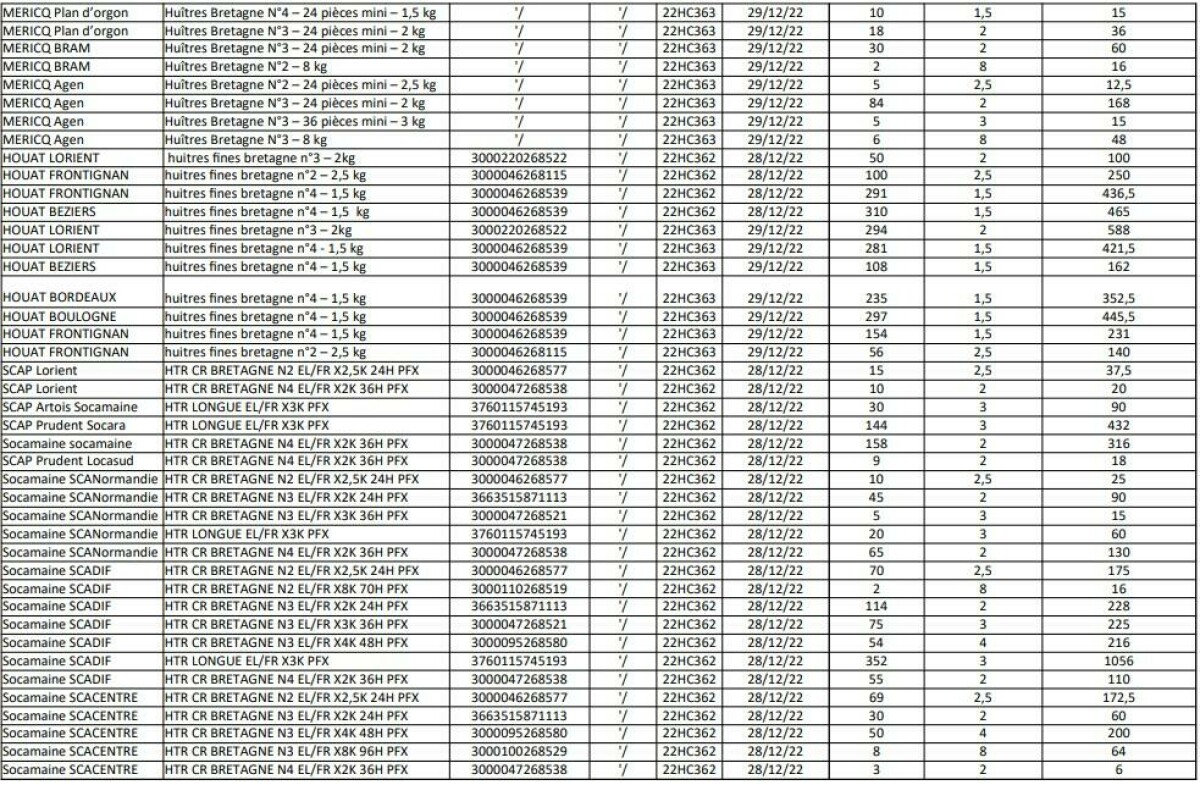
Sans marque Hollow Oysters Bretagne - recalled due to Norovirus

3 years ago source rappel.conso.gouv.fr details

Rappel Conso announced the recall of Sans marque Hollow Oysters Bretagne due to the presence of Norovirus. These products were distributed nationwide in France.

The list with details of the Sans marque Hollow Oysters Bretagne recalled are in the images below.

Marketing date: 12/28/2022
End of marketing… See more

#france #oysters

Recall notice

Pochat & sons Petit Reblochon de Savoie - recalled due to Staphylococcus

3 years ago source rappel.conso.gouv.fr details

Rappel Conso announced the recall of Pochat & sons Petit Reblochon de Savoie AOP with raw milk due to the possible presence of Staphylococcus. This product was distributed nationwide in France.

The recalled product is:
- Pochat & sons Petit Reblochon de Savoie AOP with raw milk,… See more

#raw #france #milk

Poisoned gift. My husband and I became seriously ill. We ate only this all day so it can't come from other foods. Very disappointed! We are definitely stopping fast food.  | Symptoms: Nausea, Diarrhea, Vomiting, Something else

#burgerking #lisledabeau #auvergnerhonealpes #france #fastfood

I ate at Burger King Albi on Wednesday night, a double cheese bacon that was missing the bacon was bad, and the Nutella ice cream from my son's happy meal. From Lidl I ate some  | Symptoms: Nausea

#burgerking #nutella #albi #occitanie #france #bacon #burger #cheese #happymeal